案例:一个养猪朋友说他家的猪采食近期都不怎么样,还有的猪只吃完后呕吐,不知道是什么原因?后来经过排查,原来是呕吐霉毒素中毒。

摄入呕吐霉素导致的猪呕吐
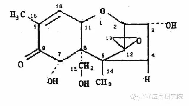
呕吐毒素
呕吐毒素(DON)又名脱氧雪腐镰刀菌烯醇,主要由禾谷镰刀菌、尖孢镰刀菌、串珠镰刀菌等镰刀菌属细菌产生的化学结构和生物活性相似的低分子量毒性代谢产物。呕吐毒素广泛存在于玉米、小麦、大麦等农作物中,饲料及原料中也有很高的检出率,并且其含量远远超过了国家标准规定的限量(1000μg/kg)。随着规模化养殖的发展,呕吐毒素开始成为影响养猪业生产的重要因素。

一、
毒性机理
呕吐毒素对细胞产生毒性作用主要是影响蛋白的生长和DNA的表达来起作用的具体包括以下三种,DON可能以下的一种以上方式同时发挥作用。

1、在亚细胞水平起作用
呕吐毒素干扰了核糖体肤基转移酶的活性中心,阻碍了核糖体循环并抑制了启动反应和终止反应,抑制了蛋白质合成。
2、通过与细胞膜相互作用
呕吐毒素对鸡胚软骨细胞膜系统的有明显损伤。软骨细胞质膜节段性缺损,线粒体断裂溶解,膜结构模糊粗面内质网断裂,核蛋白体脱粒并出现大量变性空泡,软骨基质变疏松、崩解。呕吐毒素在0.94-7.5μM和1.8 μM的浓度下就可以对体外培养的卵母细胞产生毒性作用,影响其成熟,并发现对胚胎的发育产生毒性作用。
3、通过自由基介导的脂质过氧化作用
据研究发现硒对呕吐毒素染毒的鸡胚软骨细胞具有很好的保护作用,细胞结构仍然保持相对完整。推测呕吐毒素可能是通过脂质过氧化影响细胞生长及正常功能。
二、
中毒症状
临床上呕吐毒素引起的中毒症状一般具有非特异性,很难与病毒病、细菌病和寄生虫病相区别,尤其是长期摄入低剂量的毒素,导致食欲减退,生长速度下降等,可能是饲料营养水平低下或饲养管理不当引起的,所以说呕吐毒素对饲料的打击是致命的。但是呕吐毒素中毒后还是有以下典型症状。
1、动物采食量下降。
动物采食被DON污染的饲料后,食欲缺乏。这是DON中毒的最常见症状。据报道,当饲料中DON浓度超过2ppm,猪的采食量就会大大下降。当饲料中含有1mg/kg以上的DON时可引起猪的采食量显著下降,含有3.6mg/kg DON时,体重24-25kg的猪,饲料的消耗量降低20%,含有40mg/kg DON,饲料消耗量降低90%。饲料摄入量降低与饲料中DON浓度升高呈线性相关。饲料中每增加1mg/kg DON,猪的采食量会下降约6%。
2、呕吐。
由于DON主要造成口腔和胃肠道的损伤,容易引起呕吐。呕吐是其特征性症状之一。据报道,猪的DON经口最小呕吐剂量为0.1-0.2mg/kg。猪摄入0.5mg/kg体重的DON,5-7分钟后即可开始呕吐。
3、蛋白质合成受阻,生长缓慢。
猪的生长速度下降,毛长无光泽;奶牛产奶下降,蛋禽产蛋量下降。
4、免疫抑制。
影响动物的免疫功能和繁殖功能。DON能降低血清中IgG和IgA水平,使畜禽抵抗力降低,继发各种疾病。
5、共济失调,肌肉震颤。
三、
病理变化
病理变化主要发生在胃、肠、皮肤等。胃肠私膜可见出血、坏死,脱落现象。血液生化检查可见血红蛋白降低、红细胞压积减小。可见心、肝、肾、脾均有病理变化,可见组织细胞肿胀、空泡变性、炎性细胞浸润及细胞坏死。部分动物皮肤病理检查可见表皮坏死、真皮组织化脓和广泛的细胞坏死,但较少见。
四、
脱毒方法
目前,饲料中霉菌毒素的解决方案有毒素的脱毒处理(包括吸附剂吸附和生物降解)和从营养调控角度减少毒素的毒害作用2 个途径,而在饲料中添加毒素吸附剂是目前养猪生产中应用最为广泛的毒素脱毒方法。
吸附剂种类繁多,根据其组分的不同可分为硅铝酸盐类、活性炭类、酵母细胞壁类、植物纤维类、乳酸菌类,以及高分子化合物等。如何正确的选择吸附剂,既能高效吸附DON这类常见的霉菌毒素,又能减少对营养物质的吸收,同时不影响食物的口感等,显得至关重要。因此,选择吸附剂需遵循以下原则:1)具备高效的吸附能力;2)选择性吸附,吸附毒素而不吸附营养物质;3)广谱吸附,在较高毒素浓度的前提下对多种毒素具有吸附作用;4)无副作用,不能对猪只有毒副作用等等。
生物降解主要是对DON的毒性基团C-12、13环氧环和C3-OH基团进行去环氧化、脱乙酰、羟化、水解和糖苷化等。厌氧微生物可在猪的胃肠道内将DON转化为环氧环化合物DOM-1,而DOM-1的毒性只有DON的1/55,是目前DON生物降解得到毒性最低的产物,最安全有效的方法。如在芽孢杆菌LS100就能有效降解DON。
通过营养调控的方式缓解霉菌毒素对猪只的毒害是近几年来研究的热点。添加营养物质增加动物免疫力,保护靶器官,从而降低动物对毒素的易感性。氨基酸调控被大量使用在DON毒性的控制中,如蛋氨酸可保护肝脏功能,具有抗氧化性和抗毒性,可有效减少毒素对动物的不利影响;谷氨酸的代谢为肠道功能和结构的完整性提供大量的能量,谷氨酸也可形成谷胱甘肽参与动物体内解毒过程,谷氨酸也是谷氨酰胺的必须前体,其可通过合成谷氨酰胺来产生免疫和营养双重调节的作用;某些抗菌肽也能有效改善DON对猪只生产性能、自身免疫力和肠道功能的不利影响。


